|
|
Online Proceedings
Thursday 17, July 2025
iPOP Plenary
Thursday 17, July 2025, 10:00-12:30
Presider: Hiroaki Harai, NICT, Japan
Opening Address
Naoaki Yamanaka, General Co-Chair, Keio University, Japan
Bijan Jabbari, General Co-Chair, ISOCORE, USA
Keynote
K-1
"IOWN Technology promotes Paradigm shift of Communication and Computing"
Dr. Jhih-Heng Yan, Chunghwa Telecom Labs, Taiwan (R.O.C.)(Online)
As the demand for innovative applications continues to grow, there is an increasing need for ultra-large bandwidth, ultra-low latency, and high energy efficiency. To address these challenges, Chunghwa Telecom (CHT) is actively adopting IOWN (Innovative Optical and Wireless Network) technologies, including All-Photonic Networks (APN) and Data-Centric Infrastructure (DCI). APN leverages the advantages of optical transmission to deliver superior transmission quality, improved latency, and enhanced energy efficiency. Complementing APN, DCI enables disaggregated computing by facilitating data processing and transmission at optical speeds across distributed computing resources.
In a landmark collaboration, CHT and NTT established the first international APN link between Taiwan and Japan. This high-speed optical network supports seamless live migration of virtual machines (VMs) and enables immersive cross-border virtual reality (VR) experiences. Demonstrating the potential of this technology, CHT showcased VR video performances where users in Taiwan and Japan interacted in a shared virtual environment using avatars and real-time speech translation. In 2025, the APN played a pivotal role in the real-time international co-production of Cho-Kabuki, connecting the Osaka/Kansai Expo site with CHT’s headquarters in Taipei. This achievement enabled a seamless performance experience across national borders.
CHT remains committed to advancing and realizing the vision of IOWN technologies. These innovations not only meet the evolving demands of modern digital applications but also pave the way for new paradigms in collaboration, entertainment, and sustainable computing.
Biography:
Jhih-Heng Yan received his Ph.D. degree in electrical engineering from National Tsing Hua University, Taiwan. He joins Chunghwa Telecom Laboratories in Taiwan since 2020 and participates in major standardization forums toward innovative optical networks and technologies. His major research interests are optical access and transport networks, fiber-wireless integrated systems, and RF/MMW mobile communications.
Commendation:
- Wireless and Optical Communications Conference (WOCC2024) Keynote Speaker.
K-2 "Optical Space Communication Networks: a resilient and secure space backbone"
Dr. Guray Acar, European Space Agency (ESA), The Netherlands
The global demand for high-throughput, low-latency, and secure data transmission compels us to look for more innovative communication solutions. Traditionally, very high throughput satellite systems at geostationary/geosynchronous orbits have been deployed to provide high-speed Internet access to large geographical areas on earth where terrestrial Internet coverage is either limited or non-existent. These systems have been extremely successful thanks to the advances in Radio Frequency (RF) beamforming technologies on user links. However, the limited radio frequency spectrum on feeder links necessitates an ever-increasing number of radio frequency ground stations to transport the aggregate user traffic to the terrestrial Internet. More recently, there has been an increasing number of deployments of low earth orbit satellite networks to increase the transmission rates on user/feeder links, to reduce the Size-Weight-and-Power (SWaP) of user terminals, and to reduce the end-to-end latency experienced by the users. However, these networks also suffer from scalability issues due to the limited RF spectrum on inter-satellite links as well as on feeder links.
Free-space optical communications offer significant advantages over RF communications. It enables extremely high-throughput, interference-free, secure links over very long distances between low-SWaP laser communication terminals. As such, there is a growing trend in leveraging optical communications on inter-satellite links and satellite feeder links in multi-layer satellite constellation networks and over deep space communication links.
This keynote will explore the current state and the future trajectory of Optical Space Communication Networks providing insight into the role they will play in future high-capacity, resilient, and secure space backbone networks. The talk will summarise recent milestones in optical communications, such as successful demonstrations by space agencies and commercial players.
The very strength of free-space optical communications, which is the ability to focus a high amount of energy on a narrow-divergent beam over long distances, is also the root-cause of most of its shortcomings. The talk will highlight the technical challenges related to optical space communication networks such as pointing-acquisition-tracking, atmospheric turbulence, cloud obstruction, network design and optimisation, routing, and integration with terrestrial networks.
Finally, the keynote will present a summary of the HydRON Demonstration System Project from the European Space Agency (ESA) highlighting its objectives, current baseline, and future plans.

Biography:
Dr Guray Acar has been working in Satellite Communication Networking for the last 25 years. He holds a BSc degree in Electrical and Electronics Engineering from Middle East Technical University in Turkey, MSc and PhD degrees in Broadband Satellite Networking from Imperial College of Science, Technology and Medicine in United Kingdom. Dr Acar has been employed at European Space Agency (ESA) for the last 15 years. He has contributed in numerous projects on satellite radio resource management, RF air interface and MAC protocol design, mobile satellite networking, IoT networks, and more recently, optical satellite constellation networks. Currently, he is the lead network engineer in the ESA HydRON Demonstration System project.
iPOP Exhibition introduction
- iPOP Exhibition Co-Chair: Akihiro Nakamura, Spirent Communications, Japan
iPOP Showcase introduction
- iPOP Showcase Co-Chair
Local Arrangement
- iPOP Local Arrangement Chair
Technical Session
Tech. Session (1):
Thursday 17, July 2025, 14:00-15:30
Chair: Wataru Imajuku, Meijo University, Japan
T1-1
"Overview of SDN control of multiband over SDM optical networks with physical layer impairments"
Dr. Ramon Casellas, Centre Tecnològic de Telecomunicacions de Catalunya (CTTC), Spain
This talk provides an overview of the design and evolution of a Software Defined Networking (SDN) control plane, with applications to Multi-Band over Spatial Division Multiplexing (MBoSDM) optical networks with physical layer impairments, considering both single-level and multi-level network architectures. In single-level topologies, SDM links are terminated at each node, with DWDM switching. Multi-level networks introduce additional switching domains at the (wave)band or spatial level, increasing flexibility but requiring more sophisticated control functions. The starting point are the challenges posed by increased optical capacity through the exploitation of additional optical bands as well as of the spatial dimensions: on the one hand, multi-band systems aim to maximize the use of existing infrastructure by incorporating additional bands such as S, E, O, and U alongside C and L and require refined modeling approaches to address effects like Stimulated Raman Scattering and inter-band interference. On the other hand, SDM introduces parallel transmission paths via bundles of fibers or multicore fibers, necessitating the control plane to handle additional dimensions such as core-specific impairments and continuity constraints. These technological advances require enhancements in both the control architecture and the data modeling strategies used for configuration, telemetry, path computation and resource allocation.
Software Defined Networking, and in particular Model Driven Development (MDD), serves as a key enabler for managing programmable optical devices and provision connectivity services across heterogeneous infrastructures. Using standardized transport protocols and open data models, MDD allows scalable automation of service provisioning, monitoring, and configuration. Architectural trends move from centralized and monolithic controllers toward modular service-based frameworks that include orchestrators, external path computation elements, telemetry platforms, and digital twins. Such modular designs require careful synchronization and efficient data sharing across components. From a modeling perspective, support for multiband operation involves transitioning from implicit to explicit per-band parameterization, requiring extensions to existing data models. The paper discusses the importance of encoding transceiver capabilities, ROADMs’ internal constraints, and amplifier characteristics with sufficient granularity to support dynamic resource allocation and quality of transmission (QoT) validation. Modeling complexity is addressed through techniques such as profiling, which reduces redundancy and improves scalability. Finally, new algorithms are required that can address constraints such as core and spectral continuity.
A proof-of-concept implementation is presented, showcasing a four-node MBoSDM testbed using an SDN controller extended with Transport API models. It demonstrates joint control of spatial and spectral switching using enhanced protocol layer qualifiers to represent SDM-specific constructs. The controller provisions core-level paths, dynamically instantiates virtual links, and performs resource allocation based on the topology and core availability.
In conclusion, while SDN and MDD frameworks provide a solid foundation for automation and programmability in optical networks, the integration of multiband and SDM technologies introduces significant architectural, algorithmic, and modeling challenges. Addressing these requires ongoing standardization, improved abstractions, and scalable control mechanisms to ensure efficient, flexible, and interoperable deployments.

Biography:
Ramon Casellas (IEEE SM’12) is currently serving as a Research Director and Research Line leader for “Control and Telemetry of Autonomous Packet Optical Networks”, within the Packet/Optical Networks and Services RU, at CTTC. Before that, he was an Associate Professor at Telecom Paris, France, where he obtained his Ph.D. in 2002. His main research topics are traffic engineering along with control, management, and automation of optical networks including research, development and standardization activities covering architectures, protocols and data models for GMPLS, PCE and Software Defined Networking.
He has co-authored over 100 journal publications on the topics of optical networking in journals such as IEEE/Optica Journal of Optical Communications and Networking, IEEE J. Lightwave Technology, or IEEE Communications Magazine and over 300 conference journals. He has participated in several national and international research projects, serving as work package leader on in topics of network control or technical manager in the SNS JU European Project SEASON.
He has been Associate Editor in the IEEE/Optica JOCN, and guest editor in special issues on topics such as optical networks for 5G and optical multiband. He has had roles in conferences such as ECOC, OFC, or ONDM and he is currently a member of the Technical Steering Team Linux Foundation ONMI project. He has co-authored and contributed to over 10 IETF RFCs and 2 ONF Technical Recommendations.
T1-2
"Overview of Optical Network Design based on Additive White Gaussian Noise (AWGN) model"
Dr. Toru Mano, Hideki Nishizawa, Yoshiaki Sone, and Koichi Takasugi, NTT Network Innovation Laboratories, Japan
Digital coherent optical systems serve as a foundational technology for today's information society, and optical path design techniques are essential to their performance. In optical path design, the bit error rate (BER)—a measure of signal quality after transmission—is estimated based on transmission path conditions (such as fiber and amplifier characteristics) and transceiver settings (such as modulation format and baud rate). The BER is then evaluated to determine whether it is sufficiently low. Traditionally, the intensity modulation with direct detection (IMDD) system was used for long-haul transmission. However, with the IMDD system, it was difficult to accurately evaluate signal degradation caused by optical fiber nonlinear effects such as four-wave mixing (FWM). Moreover, signal degradation in IMDD systems arises not only from nonlinear effects but also from amplifiers and transceivers. Considering the combined impact of these factors, optical path design in IMDD systems became highly complex.
In contrast, current digital coherent systems employ fibers with high chromatic dispersion, which mitigates complex nonlinear effects like FWM. Research has shown that this allows for a simpler approach to optical path design. The dominant impairments affecting signal quality are (1) Nonlinear effects during fiber propagation, (2) Amplifier noise, and (3) Signal degradation inside the transceiver. These three impairments can be modeled as additive Gaussian noise, as demonstrated in previous studies [1,2]. That is, by estimating the Gaussian noise power contributed by each impairment and summing them, the total noise power can be obtained. This enables the calculation of the signal quality after transmission. This relationship is described by the following equation:
Here, SNR represents the signal-to-noise ratio with respect to the total noise; SNRASE corresponds to amplifier spontaneous emission noise; SNRNLI to nonlinear interference; and SNRTRX to transceiver noise. The constants k1 and k2 are determined by transceiver settings such as the modulation format, and the function erfc is the complementary error function. An open-source tool is available to calculate SNRASE and SNRNLI [3], and a simplified method exists for measuring SNRTRX [4]. By using these tools, methods, and the equation above, we can accurately estimate the signal quality of a given optical path.
This talk presents the optical design method based on the additive Gaussian noise model, along with field experiment results that validate its accuracy [5,6].
Reference:
- P. Poggiolini, G. Bosco, A. Carena, V. Curri, Y. Jiang and F. Forghieri, "The GN-Model of Fiber Non-Linear Propagation and its Applications," in Journal of Lightwave Technology, vol. 32, no. 4, pp. 694-721, Feb.15, 2014.
- T. Mano et al., "Modeling Transceiver BER-OSNR Characteristic for QoT Estimation in Short-Reach Systems," 2023 International Conference on Optical Network Design and Modeling (ONDM), Coimbra, Portugal, 2023, pp. 1-3.
- V. Curri, "GNPy model of the physical layer for open and disaggregated optical networking [Invited]," in Journal of Optical Communications and Networking, vol. 14, no. 6, pp. C92-C104, June 2022
- T. Mano et al., "Measuring the Transceiver’s Back-to-Back BER-OSNR Characteristic Using Only a Variable Optical Attenuator," ECOC 2024; 50th European Conference on Optical Communication, Frankfurt, Germany, 2024, pp. 1499-1502.
- H. Nishizawa et al., "Fast WDM provisioning with minimal probing: the first field experiments for DC exchanges," in Journal of Optical Communications and Networking, vol. 16, no. 2, pp. 233-242, February 2024.
- H. Nishizawa et al., "Semi-automatic line-system provisioning with an integrated physical-parameter-aware methodology: field verification and operational feasibility," in Journal of Optical Communications and Networking, vol. 16, no. 9, pp. 894-904, September 2024.
Biography:
Toru Mano received the B.E. and M.E. degrees from the University of Tokyo in 2009 and 2011, respectively, and the Ph.D. degree in computer science and information technology from Hokkaido University in 2020. He joined NTT Network Innovation Laboratories, Japan, in 2011, where he is currently a Senior Research Engineer. His research interests include network architectures, network optimization, and the softwarization of networking.
Commendation:
- Research awards from Technical Committee on Internet Architecture, Institute of Electronics, Information and Communication Engineers (IEICE) (2012, 2015)
- Research awards from Technical Committee on Information Networks, IEICE (2014, 2017)
- IEICE Paper of the Year (2021)
- Best paper at European Conference on Optical Communications (ECOC) 2023
T1-3
"Vision Transformers for Traffic Sensing via Distributed Fiber Optics"
Mr. Robson Assis Colares, University of Campinas, Brazil
This work details a comprehensive approach to traffic monitoring in smart cities using low-cost distributed optical fiber sensing (DOFS) based on phase-sensitive optical time-domain reflectometry (ϕ-OTDR). Conducted on a university campus (UNICAMP, Brazil). The studies utilize a buried single-mode fiber—originally intended for communication—and repurpose it as a sensing medium to detect vehicle-induced vibrations.
The initial implementation transforms concatenated ϕ-OTDR traces into space-time images, which are then processed by a MobileNetV2 convolutional neural network to count heavy vehicles. Ground truth for training is established by synchronizing fiber trace data with video footage analyzed using the YOLOv8 object detection model. This setup demonstrates effective heavy vehicle detection and hourly traffic profiling, showing promising performance even with limited pulse rates and power constraints.
A second investigation introduces a vision transformer (ViT) to estimate not only vehicle count but also average speed. Comparative analysis reveals that ViTs outperform MobileNetV2 in accuracy while maintaining similar computational complexity, despite having more parameters. The system’s ability to track traffic dynamics across multiple days highlights its potential for urban planning and infrastructure monitoring in smart communities.
The work emphasizes practical deployment using existing fiber infrastructure, minimal preprocessing, and compatibility with low-cost hardware. The accompanying image dataset is publicly available for benchmarking, reinforcing the studies' commitment to reproducibility.

Biography:
Bachelor’s degree in Electrical Engineering - Mackenzie University in Brazil (2014)
-Research Intern - École Polytechnique de Montréal (2012)
-Research Intern - Mackenzie University (2013)
-Optical Network Engineer at TIM Celular SA (2009-2012) and Huawei Technologies (2014- 2019)
Master’s degree in Electrical Engineering and Telecommunications from University of Campinas (UNICAMP) (2020- 2021)
PhD Candidate in Electrical Engineering and Telecommunications from University of Campinas (UNICAMP) (2022-present)
At Mackenzie University and École Polytechnique de Montréal, conducted research in optical sensing, particularly OFDR (Optical Frequency Domain Reflectometry) for temperature sensing and fiber-based plasmonics for biosensing applications. During Master’s and PhD studies, research focused on distributed optical fiber sensing for parameter estimation in smart communities.
Showcase Presentation
Thursday 17, July 2025, 15:30-16:00

Technical Session
Tech. Session (2):
Thursday 17, July 2025, 16:30-17:50
Chair: Masaki Tanaka, Mitsubishi Electric, Japan
T2-1
"Network operation automation through user intent handling with LLM and GenAI"
Mr. Takuya Miyasaka, KDDI Research, Inc., Japan
Recent advances in Transformer-based large language models (LLMs) have accelerated the application of generative artificial intelligence (GenAI) across various social domains, including network-operations. Concurrently, standardization activities led by international SDOs such as TM Forum, 3GPP, and IETF have begun to define reference architectures for LLM-enabled network operational.
This presentation first delineates the technical components of LLMs and evaluates their prospective impact on network-management processes. Furthermore, it will explain the status of standardization regarding network operation using LLM.
Finally, we will introduce KDDI Research's efforts [1] to utilize LLM in network operations. In particular, we will propose and demonstrate a framework for efficiently extracting information necessary for network design (intent handling) from natural language intents received from users (operators and customers) in order to realize autonomous networks.
Fig. 1 Intent Handling with LLM and GenAI [1]
References:
- KDDI, Successful Verification Experiment of Network Operation Using Dialogue with AI, February 26,2025, https://newsroom.kddi.com/english/news/detail/kddi_nr-467_3745.html
Biography:
Takuya Miyasaka received his M.S. in Information Science and Technology from the University of Tokyo in 2011. The same year he joined KDDI Corporation, where he spent seven years advancing the development and standardization for KDDI’s fixed national backbone network. In 2018 he was seconded to KDDI Research, Inc., where he led research on communication infrastructure for connected vehicles and contributed to related standards activities until 2021. He now leads research on network operations at KDDI Research, Inc., focusing on autonomous network, intent-based networking, and AI-driven network management. His professional interests include network architecture, large-scale automation, and the application of AI/ML to carrier-grade infrastructures. He also currently serves as Chair of JANOG (Japan Network Operators’ Group).
Commendation:
- ITU-AJ Encouragement Awards (2019)
- IEICE Young Researcher's Award (2020)
T2-2
"Radio-over-fiber technologies for millimeter-wave and terahertz-wave communications in 6G and beyond"
Dr. Pham Tien Dat, NICT, Japan
Radio communications in the millimeter-wave and terahertz-wave bands are promising for high-speed, low-latency services in 6G and beyond networks. However, several challenges—such as high free-space loss, weak penetration, and limited coverage—remain significant bottlenecks, making the deployment of radio communications in the high-frequency bands difficult. Photonic technology, and its integration with radio systems, offers a powerful solution to these challenges. In this talk, we present key radio-over-fiber technologies for radio signal generation, transmission, reception, and processing to address the limitations [1, 2].
We showcase various systems as examples, including:
- High-speed fiber–wireless bridge for fixed wireless access and emergency communications,
- Transparent relay and routing of radio signals for coverage extension,
- Simultaneous radio signal generation, transmission, and reception to support multi-radio access technology coexistence, multi-user access, and integrated access and backhaul applications.
Additionally, we discuss reconfigurable seamless fiber-radio network concepts for both radio access and backhaul applications. We illustrate this with an adaptive tracking and switching system that ensures uninterrupted communication for fast-moving users, such as those aboard high-speed trains [3, 4].
References:
- Pham Tien Dat, Kouichi Akahane, “Photonic Technology for Millimeter-Wave and Terahertz-Wave Communications in IMT-2030 and Beyond” IEEE Communications Standards Magazine, Early Access.
- Pham Tien Dat, Kouichi Akahane, “Photonics-Enabled Millimeter-/Terahertz-wave Signal Processing and Applications” Journal of Lightwave Technology (Early Access).
- Atsushi Kanno et al., “High-speed railway communication system using linear-cell-based radio-over-fiber network and its field trial in 90-GHz bands” Journal of Lightwave Technology, Vol. 38, Issue 1, pp. 112-122 (2020).
- Pham Tien Dat et al., “High-speed and uninterrupted communication for high-speed trains by ultrafast WDM fiber–wireless backhaul system” Journal of Lightwave Technology, Vol. 37, Issue 1, pp. 205-217 (2019).
Biography:
PHAM TIEN DAT received his B.Eng. degree in electronics and telecommunication engineering from the Posts and Telecommunications Institute of Technology, Vietnam, in 2003, and M.Sc. and Ph.D. degrees in science of global information and telecommunication studies from Waseda University, Japan, in 2008 and 2011, respectively.
In 2011, he joined the National Institute of Information and Communications Technology, Japan, where he currently a senior researcher. His research interests are in microwave/millimeter-wave photonics, radio over fiber, and optical wireless systems.
Commendation:
- IEICE Electronics Society Award 2023
T2-3
"Analog-RoF mobile fronthaul networking testbed in Keio future photonic network open lab."
Kojiro Nishimura,Yoshihiko Uematsu, Satoru Okamoto, and Naoaki Yamanaka, Keio University, Japan
We are attempting to further improve high-speed and large-capacity communication services for the beyond 5G (B5G). To realize this, we have proposed the smart mobile fronthaul (SMFH) concept [1] using analog radio over fiber (A-RoF) technologies and power over fiber (PWoF) technologies with newly developed hollow-core fibers (HCFs) which has already installed in the Keio Univ. campus [2]. Some A-RoF-based moblie fronthaul networking technologies were demonstrated [3-5] which were using 5 GHz WiFi signals.
We have constructed the sub6 (4.9 GHz band) local 5G (L5G) base station systems in the Lab. Currently, a testbed for 4.9 GHz 5G radio signals over fiber (SMF and HCF) is in operation in the lab. In this presentation, we will introduce L5G-over-A-RoF networking experiments, including the switched-RoF [3], which demonstrates dynamic serving-cell switching, and the multispot RoF [4], which enables simultaneous connectivity to multiple cells.
Fig. 1 Local 5G System
Fig. 2 A-RoF modules
Fig. 3 L5G-based A-RoF networking system
Acknowledgements:
This work was supported in part by the National Institute of Information and Communications Technology (NICT) (JPJ012368C07101) and the "Research and Development of Advanced Optical Transmission Technologies for Green Society (JPMI00316)" of the Ministry of Internal Affairs and Communications (MIC) of Japan. This research was conducted at the Keio Future Photonic Network Open Lab.
References:
- S. Okamoto, N. Yamanaka, R. Kubo, M. Matsuura, and H. Tsuda, “Beyond 5G mobile front haul networks using high power transmissionradio over fiber technologies,” IEICE Tech. Rep., vol. 122, no. 398, PN2022-56, pp. 70–76, March 2023 (in Japanese).
- N. Yamanaka, S. Okamoto, H. Tsuda, T. Miyamura, M. Matsuura, K. Mukasa,“Very-low-delay massive wavelength division multiplexedoptical network using Newly structured hollow-core fiber and its application,” International Conference on Computing, Networking andCommunications (ICNC 2025), pp.583-587, Hawaii, Feb. 2025.
- R. Murakami, K. Nishimura, S. Okamoto, T. Kurimoto, Y. Uematsu, and N. Yamanaka, “First Demonstration of Switched RoF ConceptUsing MEMS Optical Switch and High-linearity Installed Hollow Core Fiber Cables,” in Proc. 50th Eur. Conf. Opt. Commun., Frankfurt, Germany, 2024, pp.1196-1199.
- K. Nishimura, R. Murakami, Y. Uematsu, S. Okamoto, and N. Yamanaka, “1st demonstration of the multi-spot RoF concept using Wi-Fi APas an emulated base-station,” in Proc. 20th Int. Conf. IP/ IoT & Process. + Opt. Netw., Hakodate, Japan, 2024. [Online]. Available:https://www.pilab.jp/ipop2024/info/onlineproceedings.html
- K. Nishimura, S. Okamoto, R. Murakami, N. Yamanaka, and M. Matsuura, “Construction of the analog radio over fiber technology testbed with Linux PC-based WiFi access points,” IEICE Communications Express (ComEx), vol. 13, no. 12, pp. 458-460, Dec. 2024.

Biography:
Kojiro Nishimura received his B.E. in Electrical Engineering from Keio University, Japan, in 2024. He is currently a Master’s student in the Graduate School of Science and Technology at Keio University, where he conducts research on optical networks under Prof. Naoaki Yamanaka. His research interests include hollow-core fiber and analog radio-over-fiber.
Friday 18, July 2025
Technical Session
Tech. Session (3):
Friday 18, July 2025, 9:20-10:40
Chair: Hideaki Furukawa, NICT, Japan
T3-1
"All-Photonics Network Common Infrastructure Technology towards Multi-Operator Collaboration"
Mr. Toshihiko Tamura, NTT Network Service Systems Laboratories, Japan
An All-Photonics Network is expected to be deployed to realize a full-scale AI society in the future. In order to use AI computing resources effectively distributed across various clouds while keeping highly confidential data on-premises, we are aiming to realize an All-Photonics Network that interconnects operators’ or users’ photonic networks. Current photonic networks are often built and operated by individual operators alone. Therefore, it currently seems to be difficult for multiple operators to interconnect photonic networks.
To realize such networks, five companies, NTT, KDDI, Fujitsu, NEC and Rakuten Mobile, are currently working together on a national project "Research and Development of All-Photonics Networks Common Infrastructure Technology ", social implementation and overseas expansion oriented strategic program based on the Innovative ICT Fund Projects for Beyond 5G/6G published by the National Institute of Information and Communications Technology (NICT). NTT is the representative company of this project.
This project includes two items for research and development. The first one is formulation of the overall All-Photonics Network architecture. Specifically, we define two kinds of use cases for the network, distributed computing and mobile fronthaul, and consider the network functions and optimal deployment in the network to realize them. The other one is research and development of All-Photonics Network common infrastructure technology. This is composed of three elemental technologies, a) photonic network federation technology that enables cooperation among multiple operators' APNs to ensure fault tolerance and service quality, b) subchannel circuit exchange technology that enables simultaneous use and flexible switching among multiple user clouds and data centers, and c) distributed ROADM technology that enables APN nodes deployable to regional data centers and small to medium-sized sites. In this presentation, we will introduce these architectures and elemental technologies.
Biography:
Toshihiko Tamura is an Executive Research Engineer at NTT R&D. After he obtained M.E. degree from Keio University in 2000, he joined NTT laboratories as a researcher specialized in mobile IP network. He was engaged in designing IP backbone network for 4G and developing advanced IP backbone network for 5G in NTT DOCOMO, Inc. Currently he is responsible for network architecture project, mainly focused on All-Photonics Network (APN) and 6G mobile network.
T3-2
"Distributed ROADM node architecture for wide deployment of all-photonics network"
Yasuhiko Aoki, Yuuya Ishida, Yuki Ban, Yoshito Kachita, Atsushi Kanai, Yuichi Suzuki, and Hiroaki Tomofuji, 1FINITY Inc., Japan
All-Photonics Networks (APNs), which support direct wavelength path connections from end user to end user without any optical-to-electrical (O/E) or electrical-to-optical (E/O) conversion, are attractive for their potential to enable low power consumption and low latency services in the future. These services include AI learning and inference between data centers, as well as mobile network applications.
ROADM (Reconfigurable Optical Add-Drop Multiplexer) nodes have been deployed globally in long-haul and metro networks to support dynamic optical path setup and switching. This is achieved by introducing optical switching devices, such as wavelength selective switch(WSS) within the ROADM node. However, traditional ROADM nodes are designed primarily for long-haul and metro network applications, and several issues remain that prevent their deployment at end-user sites. These issues include size and power consumption.
In this paper, we introduce the concept of distributed ROADM node architectures to overcome these challenges. We discuss potential use cases, such as mobile fronthaul (MFH) networks and edge data center connections. We also present some preliminary results of a ROADM node device designed for use in small ROADM nodes for MFH and edge data center applications.
※These research results were obtained from the commissioned research (No. JPJ012368C09001) by National Institute of Information and Communications Technology (NICT), Japan.
Biography:
Yasuhiko Aoki received his B.E., M.E., and Ph.D. degrees from the Tokyo Institute of Technology, Tokyo, Japan, in 1997, 1999, and 2001, respectively.
In October 2003, he joined the Photonic Systems Laboratory, Fujitsu Laboratories, Ltd., Kawasaki, where he was engaged in the development of LH and metro DWDM systems, photonic nodes, and the study of photonic network architectures. Since April 2023, he has been with the Advanced Technology Development Office, Photonics System Business Unit, Fujitsu Limited (now 1Finity Inc.), and is working on advanced R&D strategy planning for photonics technologies.
T3-3
"Two-Tier Path Design for Federation of Optical Networks Across Different Administrative Domains"
Kotaro Inoue, Takayuki Kuroda, Nozomu Takama, and Toshimasa Yamazaki, NEC Corporation, Japan
The increasing societal importance of Information Technology (IT) and Artificial Intelligence (AI) necessitates high-speed, high-capacity, flexible, and robust network infrastructures. Federation of optical networks is a promising way to meet these needs. Optical networks inherently offer high speed and capacity, and federation solves the issues of flexibility and resilience by connecting different network areas together, allowing for resource sharing and enhanced resilience against failures.
However, a significant challenge arises in federation of optical networks involving multiple operators: the reconciliation of diverse policies across different administrative domains. Each operator may have unique policies related to security, resource allocation, quality of service, and routing preferences, making end-to-end path establishment complex.
To address this challenge, we propose a novel two-tier path computation architecture for federation of optical networks (Figure 1). Our architecture operates across three layers: an abstraction layer representing user/system requests for path design, a device layer representing the physical network elements, and a topology layer providing an abstract, logical network representation. This layered approach decouples the path computation process into two distinct stages.
In the first tier (global) path design, the diverse policies of each participating operator are abstracted and aggregated into a simplified, yet efficient, metric. This abstraction allows for a global path design, identifying an optimal path across multiple domains without going into all the complicated details of each operator's rules.
The second tier (local) path design focuses on refining the path within each operator's domain. Here, the detailed, operator-specific policies are applied to determine the precise path segment, considering factors such as resource availability, security constraints, and traffic engineering objectives. This ensures that the final path segment complies with the operator's internal regulations and optimization goals.
This two-tier approach offers several advantages. The first tier simplifies the global path computation by avoiding the complexities of individual operator policies. The second tier ensures that the resulting path adheres to the specific policies of each operator involved.
This paper focuses on clarifying the challenges associated with policy reconciliation in federated optical networks and presenting the fundamental concepts of the proposed two-tier path computation architecture.
Fig. 1 Conceptual Layer ed Model for Federation of Optical Network
Biography:
Kotaro Inoue received his bachelor's degree in philosophy from Kobe University. He joined NEC Corporation in 2019, working on the design, integration, and maintenance of ICT infrastructure operation management services. Currently, he is with NEC's Secure System Platform Research Laboratories, focusing on research and demonstration experiments related to automated design technology and autonomous operation technology for ICT systems.
Special Session
Friday 18, July 2025, 11:00-12:00
Organizer & Chair: Naoaki Yamanaka, Keio University, Japan
S-1
"Recent progress of RoF and PWoF using Hollow core fiber"
Hiroyuki Tsuda, Keio University, Japan, and Motoharu Matsuura, The University of Electro-Communications, Japan

Biography:
Hiroyuki Tsuda received a B.S. from Waseda University in Japan in 1985 and an M.E. and a Ph.D. from the Tokyo Institute of Technology in Japan in 1987 and 1998, respectively. He joined NTT Optoelectronics Laboratories in 1987, where he initially conducted research on nonlinear optical devices. From 1994 on, he worked on developing long-haul 10 Gbit/s transmission systems. In 1996, he researched optical signal processing for communication systems using arrayed-waveguide gratings. He also studied the hybrid integration of III-V devices onto CMOS circuits. Since 2000, he has been a professor in the Department of Electronics and Electrical Engineering at Keio University. He was also a visiting professor at University College London. His research focuses on optical devices that use silica and silicon waveguides for optical communication systems, in-vehicle optical networks, and hollow-core fiber-based systems. He has published over 100 journal articles and holds multiple patents on optical devices. He is a fellow of the Institute of Electronics, Information and Communication Engineers of Japan. He is also a member of the IEEE Photonics Society, the IEEE Communications Society (ComSoc), Optica, the Japan Society of Applied Physics, the Laser Society of Japan, and the Optical Society of Japan.
S-2
"Hollow Core fiber RoF application for 5G/6G network"
Satoru Okamoto, Keio University, Japan

Biography:
Dr. Satoru Okamoto is a Project Professor of the Keio University, Kanagawa, Japan. He received his B.E., M.E. and Ph.D. degrees in electronics engineering from Hokkaido University, Hokkaido, Japan, in 1986, 1988 and 1994. In 1988, he joined Nippon Telegraph and Telephone Corporation (NTT), Japan, where, he conducted research on ATM cross-connect system architectures, photonic switching systems, optical path network architectures, photonic network management systems, and photonic network control technologies. In 1999, he investigated the HIKARI router (“photonic MPLS router”) and the MPLambdaS principle. He is now researching future IP + optical network technologies, and application over photonic network technologies.
He has led several GMPLS-related interoperability trials in Japan, such as the Photonic Internet Lab (PIL), the Optical Internetworking Forum (OIF) Worldwide Interoperability Demo, and the Kei-han-na Interoperability Working Group. He is a vice co-chair of the Interoperability Working Group of the Kei-han-na Info-communication Open Laboratory. He is now promoting several research projects related to photonic networks.
He has published over 100 peer-reviewed journal and transaction articles, written over 230 international conference papers, and been awarded 60 patents including 5 international patents. He received the Young Researchers’ Award and the Achievement Award in 1995 and 2000 respectively from the IEICE of Japan. He also received the IEICE/IEEE HPSR2002 Outstanding Paper Award, Certification of Appreciation ISOCORE and PIL in 2008, IEICE Communications Society Best Paper Award and IEEE ISAS2011 Best Paper Award in 2011, Certification of Appreciation for iPOP Conferences 2005-2014 in 2014 and 2015-2019 in 2019, and IEICE ICETC2020 best short paper award in 2020.
He was an associate editor of the IEICE Transactions on Communications (2006-2011) as well as the chair of the IEICE Technical Committee on Photonic Network (PN) (2010-2011), and was an associate editor of the Optical Express of the Optical Society of America (OSA) (2006-2012). He is an IEICE Fellow and an IEEE Senior Member.
S-3
"The state-of the art Hollow core fiber research"
Kazunori Mukasa, Lightera Corporation, Japan

Biography:
Kazunori Mukasa received B.E. and M.E. degree in Electrical Engineering from Waseda University, Tokyo, Japan in 1994 and 1996. He joined Furukawa Electric, Chiba, Japan in 1996 and has been mainly investigated new types of transmission fibers. From 2004 to 2006, he worked as a visiting researcher in ORC, University of Southampton, the U.K. From 2012 to 2015, he belonged to OFS Laboratories, the USA as a visiting researcher. Now, he is a manager and senior researcher of Photonics laboratories of Furukawa Electric, Mie, Japan, and mainly investigating the next-generation transmission fibers, including innovative silica fibers and hollow-core fibers.
S-4
"Key Technologies for Multiband Massive Wavelength-Multiplexing Metro Networks"
Takashi Miyamura, Sensyu University/Keio University, Japan

Biography:
Takashi Miyamura is a Professor at Senshu University and Project Professor at Keio University, Kanagawa, Japan. He received the B.S. and M.S. degrees from Osaka University, Osaka, Japan in 1997 and 1999, respectively, and Ph.D. degree from Hokkaido University in 2018. In 1999, he joined NTT Network Service Systems Laboratories, where he engaged in research and development of a high-speed IP switching router.
His research interest includes future optical transport network architectures and an optical switching system. He received paper awards from the 7th Asia-Pacific Conference on Communications (APCC 2001), and best paper award from the 19th Asia-Pacific Network Operations and Management Symposium (APNOMS 2017). He is a senior member of IEICE, and a member of IEEE.
Sponsor Session
Friday 18, July 2025, 13:30-14:10
Chair: Yoichi Sato, Open Systems Laboratory, Japan
B-1
"Photonic Exchange – A Novel Transport System Utilizing Wavelength Converter for End-to-End Direct Optical Connections in APN"
Junnosuke Hiyama, NTT, Japan
Biography:
TBD
B-2
"Keio Future Photonic Network Open Lab and its Related Activities"
Satsuki Jimura, Keio University, Japan
Biography:
TBD
Poster Session / Exhibition
Friday 18, July 2025, 14:10-15:00
P-1
"Improvement of Method to Conceal Formula of Network Reliability Computation"
Kanata Miki, and Masahiro Hayashi, Tokyo City University, Japan
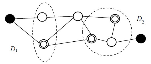
The IH method is a fully homomorphic encryption technique that has been applied it to the problem of how network reliability computations can be outsourced without revealing the values of component reliabilities [1]. However, in outsourcing, we must reveal the network topology, which is more significant than revealing the component reliabilities. A solution to this problem is to add dummy links to the original topology [2]. For example, l. h. s. of Fig. 1 can be transformed into the one on the r. h. s. without changing the network reliability and revealed to the subcontractor. Here, network reliability is defined as the probability of two nodes (indicated by two filled circles) being connected, and each link denotes a component. The bold lines indicate dummy links.
Fig. 1 Change of topology
However, this method has a problem because the human eye can compensate for such changes, so the original topology might be estimated from the transformed one. Therefore, a new idea has been put forward where, not the topology, but the formula expressing network reliability is transformed [4]. For example, the formula p1 + p2 – p1p2 expressing network reliability can be transformed into p4p1 + {(p2p3 – p1p2}p3p4, where p1, p2, and p3 are link reliabilities but p3 and p4 are dummy variables. It is harder to estimate the original formula from the transformed one, compared with the case of transforming the topology in Fig. 1.
Here, we claim that the method [3] is still useful because its rule of giving dummy variables is very strict as it only multiplies them to the original formula. Now our new proposal makes it possible to add additional variables. This addition becomes possible by changing the symbol of plus or minus of secret key in the application of the IH method.
References:
- T. Iseki et al. “Improved secure computation over real numbers and its application to reliability engineering,” APNOMS 2019, INSPEC Accession Number: 19134631, 2019.
- R. Hatanaka et al. “Improved solution of topology concealment problem in computing network reliability,” 27th APCC, pp. 554-559, 2022.
- E. Yokoseki et al. “Concealing formulas in fully homomorphic encryption used in computations of network reliability,” 20th iPOP, T3-2, 2024.

Biography:
Graduate Department of Electrical, Electronic and Communication Engineering at Faculty of Science and Engineering, Tokyo City University (2024), and now majoring Informatics at Graduate School of Integrative Science and Engineering, Tokyo City University
P-2
"Improvement of Computing Security Strength of Allocation of Shares in Secret Sharing Schemes"
Syuuma Suzuki, and Masahiro Hayashi, Tokyo City University, Japan
The (k, n)-secret sharing scheme divides data (secret), which we want to conceal, into pieces (shares). A hacker must aggregate k shares to decipher the secret.
Security strength fluctuates with the allocation of shares in communication networks. Therefore, it is necessary to evaluate (compute) the security strength of each allocation in order to determine the share allocation. The most recent model [1] consists of a graph representing the communication network and domains, D1, D2, … , Dm,, i.e., sets of nodes following the same security principle. There are three node types: shareholders, intrusion gates and transition nodes. A domain is in either the open or closed condition, and the probability of Di being open (denoted by pi) is known for every domain. An open domain implies that it can be hacked successfully. A hacker can access a share if there is a path that does not go through the nodes included in any closed domain between a shareholder and an intrusion gate. The security strength of each allocation is defined as the probability of a hacker being able to access k shareholders.
In Fig. 1, ◎, ●, ○, and the dashed lines denote shareholder, intrusion gate, transition node, and domain, respectively.
Fig. 1 Model
Factoring is defined as generation of two models from the original single model by changing the condition of a selected domain from open to closed [1].
Here, we propose a further improvement by giving a rule for selecting domains. This rule has two conditions: 1) the domain has no node connecting to an intrusion gate; 2) the domain has a shareholder. The rule is that we first enumerate all domains satisfying the conditions and select the largest one in them; then, we enumerate domains satisfying Condition 2 and select the largest one.
We demonstrate the effectiveness of our proposal with numerical examples.
References:
- S. Sugiyama et al. “Improvement of method to compute security strength for (k, n)-threshold secret sharing scheme”, 20th iPOP, T3-3, 2024.

Biography:
Graduate Department of Electrical, Electronic and Communication Engineering at Faculty of Science and Engineering, Tokyo City University (2024), and now majoring Informatics at Graduate School of Integrative Science and Engineering, Tokyo City University.
Special Panel Session
Friday 18, July 2025, 15:00-16:30
Special Panel Session
Theme of Special Panel Session: Toward interconnection and collaboration of optical networks
Moderator:
Sugang Xu, NICT, Japan
Biography:
Sugang Xu received the B.E., M.E. degrees in Computer Engineering from Beijing Polytechnic University, Beijing, China, in 1994 and 1997, respectively, and Ph.D. degree in Information and Communication Engineering at the University of Tokyo, Tokyo, Japan, in 2002. He joined the Global Information and Telecommunication Institute, Waseda University, in 2002 as a Research Associate. Since 2005, he joined the National Institute of Information and Communications Technology (NICT), Tokyo, Japan. He has been engaged in research on new-generation network architecture and resilience of photonic networks. He is a member of IEEE and IEICE.
Commendation:
- APCC2000/APB Best Paper Award
- ONDM2023 Best Paper Award
Panelists:
- Takuya Miyasaka, KDDI Research, Inc., Japan
Biography:
Takuya Miyasaka received his M.S. in Information Science and Technology from the University of Tokyo in 2011. The same year he joined KDDI Corporation, where he spent seven years advancing the development and standardization for KDDI’s fixed national backbone network. In 2018 he was seconded to KDDI Research, Inc., where he led research on communication infrastructure for connected vehicles and contributed to related standards activities until 2021. He now leads research on network operations at KDDI Research, Inc., focusing on autonomous network, intent-based networking, and AI-driven network management. His professional interests include network architecture, large-scale automation, and the application of AI/ML to carrier-grade infrastructures. He also currently serves as Chair of JANOG (Japan Network Operators’ Group).
Commendation:
- ITU-AJ Encouragement Awards (2019)
- IEICE Young Researcher's Award (2020)
- Katsuhiro Horiba, AWS, Japan
Biography:
Received Master degree for Media and Governance from Keio University (2006)
Joined KEIO University as Research Associate (2007), Researcher (2009), and Project Assistant Professor (2012)
Joined SoftBank as Network Architect (2015), Senior Manager of Technology Planning in Advanced Technology (2019), and Director of Network Research Office (2022)
Received Ph.D for Media and Governance from Keio University (2019)
Joined Amazon Web Services (AWS) Japan as Principal Solutions Architect (2024)
- Satoshi Uda, JAIST, Japan
Biography:
B.S. from Tokyo University of Science(1997), M.S. and Ph.D from Japan Advanced Institute of Science and Technology(1999,2004).
Assistant Professor, Reserch Center for Advanced Computing Infrastructure, Japan Advanced Institute of Science and Technology (2004).
Associate Professor, Center for Innovative Distance Education and Research, Japan Advanced Institure of Science and Technology (2022). Also serves as Reserch Center for Advanced Computing Infrastructure and Graduate School of Advanced Science and Technology.
Steering Committee Member at Japan Data Center Council (JDCC). Board member at WIDE Project.
Held leadership roles in the Interop Tokyo ShowNet NOC team for many years.
Closing Session
Friday 18, July 2025, 16:30-16:50
Closing by iPOP Organization Committee Co-Chair
Satoru Okamoto, Keio University, Japan
|